什么是加权平均法
来源:牛账网 作者:张红 阅读人数:15215 时间:2019-04-08
导语:什么是加权平均法。在日常生活中,我们常用平均数表示一组数据的‘平均水平’。把在一组数据里,一个数据出现的次数称为权。
什么是加权平均法
加权平均法,利用过去若干个按照时间顺序排列起来的同一变量的观测值并以时间顺序数为权数,计算出观测值的加权算术平均数,以这一数字作为预测未来期间该变量预测值的一种趋势预测法。加权平均法又称“综合加权平均法”、“全月一次加权平均法”。存货成本,计算出存货的加权平均单位成本,以此为基础计算一个月发出存货的成本和期末存货的成本的一种方法。
加权平均法公式
加权平均法是指标综合的基本方法,具有两种形式,分别为加法规则与乘法规则。
存货的加权平均单位成本=(结存存货成本+购入存货成本)/(结存存货数量+购入存货量);
库存存货成本=库存存货数量×存货加权平均单位成本;
本期发出存货的成本=本期发出存货的数量×存货加权平均单位成本,
或本期发出存货的成本=期初存货成本+本期收入存货成本-期末存货成本。
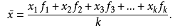
加权平均法,在市场预测里,就是在求平均数时,根据观察期各资料重要性的不同,分别给以不同的权数加以平均的方法,公式如下所示:
其特点是:所求得的平均数,已包含了长期趋势变动。
Excel求加权平均数
加权平均数的公式为:
=SUMPRODUCT(B2:B4,C2:C4)/SUM(B2:B4)
或者输入公式:=SUM(B2:B4*C2:C4)/SUM(B2:B4)
然后按下Ctrl+Shift+Enter三键结束数组公式的输入,如图1所示。
以上就是小编为大家整理的有关什么是加权平均法给出的解答,希望对大家有所帮助。如果大家还想要了解更多有关会计类的相关知识的,敬请关注牛账网吧。

赞