2024年中级会计(财务管理三色笔记:收入与分配管理)
来源:牛账网 作者:艾伦 阅读人数:12956 时间:2024-07-09
2024年中级会计《财务管理》三色笔记
第 九 章 收入与分配管理
☆2024年本章主要变化☆ 新增:选择供货单位的纳税筹划 调整:①直接对内投资纳税管理;②小规模纳税人增值税相关征收率。 |
【知识点1】概述
1. 收入与分配管理的原则:
依法分配原则;分配与积累并重原则;兼顾各方利益原则;投资与收入对等原则。
2. 收入与分配管理的内容:
提示:公司持有本公司股票不分配利润。
【知识点2】收入管理
1. 销售预测分析
(1)定性分析法:三方法
方法 | 具体内容 |
营销员判断法 | 经营管理人员根据推销人员调查结果进行综合分析,从而作出较为正确预测的方法。用时短、耗费少。 |
专家判断法 | 其主要有个别专家意见汇集法、专家小组法、德尔菲法等方法。 |
产品寿命 周期分析法 | 利用产品销售量在不同寿命周期阶段上的变化趋势,进行销售预测的一种定性分析方法。 |
(2)定量分析法:两方法
方法 | 具体内容 | |
趋势预测 分析法 | 算术平均法 | 将若干历史时期的实际销售量或销售额作为样本值,求出其算术平均数作为下期销售量的预测值,适用于每期销售量波动不大的产品的销售预测。 |
加权平均法 | 权数选取遵循“近大远小”的原则,比算术平均法更为合理。 | |
移动平均法 | ① 移动平均值(实质:最近m期实际数据的简单算术平均): ② 修正移动平均法: 缺点:只选用了n期数据中的最后m期作为计算依据,代表性较差。 | |
趋势预测 分析法 | 指数平滑法 | 上期实际销量与上期预计销量的加权平均。 ① 以事先确定的平滑指数a及(1-a)作为权数进行加权预测销售量。 预测销售量=预测前期实际销量×a+预测前期的预测值×(1-a) ② 平滑指数a:通常取值在0.3~0.7之间。 解读:a越大,说明近期实际销售量对预测结果的影响越大,在销售量波动较大或短期预测时 ,可选择较大的a |
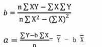
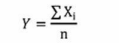
因果预测 分析法 | 预测公式:Y=a+bX,回归直线法计算。 |
2. 销售定价管理
(1)影响产品价格的因素:价值、成本、供求关系、竞争、政策法规。
(2)定价目标:
定价目标 | 特征 | 适用性 |
实现利润 最大化 | 较高的价格,产品单位利润率高。 | 处于领先或垄断地位的企业; 竞争优势明显且能长时间保持这种优势的企业。 |
保持或提高 市场占有率 | 注重长期经营利润,价格往往低于同类产品 。 | 适用于薄利多销的企业。 |
稳定价格 | 行业中的领导企业制定一个价格,其他企业的价格则与之保持一定的比例关系,大小企业均不会随便降价。 | 产品标准化的行业,如钢铁制造业等。 |
应付和避免 竞争 | 参照对市场有决定性影响的竞争对手的产品价格变动情况,随时调整本企业产品价格。 | 中小型企业。 |
树立企业形象 及产品品牌 | 树立优质高价形象或树立大众化平价形象 。 | 吸引某一客户群或吸引大量的普通消费者。 |
(3)定价方法
① 以成本为基础:下表中单位产品价格均为含税价格
方法 | 计算 |
目标利润法 | 单位产品价格=(单位完全成本+单位目标利润)/(1-适用税率) 提示:单位完全成本=单位制造成本+单位期间费用。 |
保本点定价法 | 令:目标利润=0, 解得:单位产品价格=单位完全成本/(1-适用税率)。 |
全部成本费用 加成定价法 | 单位产品价格=单位完全成本×(1+成本利润率)/(1-适用税率) 或:单位产品价格=单位完全成本/(1-销售利润率-适用税率) |
变动成本 定价法 | 单位产品价格=单位变动成本×(1+成本利润率)/(1-适用税率) 提示:单位变动成本=单位变动制造成本+单位变动期间费用。本方法适用于利用剩余生产能力增产产品的定价。 |
② 以市场需求为基础
方法 | 计算 |
需求价格弹性系 数定价法 | 需求价格弹性系数E=销量变动率/价格变动率= |
边际分析定价法 | 原理:微分极值原理。 决策原则:边际收入等于边际成本,即边际利润等于零时,利润将达到最大值。 |
(4)价格运用策略
【知识点3】纳税管理
1. 基本概念
(1)纳税筹划原则:
合法性原则、系统性原则、经济性原则、先行性原则 (筹划应在纳税义务发生前)。
(2)纳税筹划方法:
减少应纳税额(利用税收优惠、转让定价筹划)+递延纳税(使应纳税额的现值减小, 采取有利的会计处理方法)。
2. 筹资纳税管理
内部 筹资 | ① 将利润留存在公司内部,从公司角度来讲,资本成本比外部股权筹资低;财务风险比债务筹资小。 ② 从投资者角度来讲,可以自由选择资本收益的纳税时间,享受递延纳税带来的收益。 |
外部 筹资 | ① 权衡利息的节税收益与财务困境成本:V=Vu(无负债企业价值)+PV(利息抵税)-PV(财务困境成本); ② 债务筹资筹划前提:总资产报酬率(息税前)>债务利息率; 提示:对股东而言,债务筹资除了利息抵税,还有财务杠杠效应带来的好处: 权益净利率(税前)=总资产报酬率(息税前)+[总资产报酬率(息税前)-债务利息率]×产权比率。 |
3. 投资纳税管理:
(1)直接投资(2024调整部分表述):
方式 | 筹划重点 | 具体要求 |
直接 对外投资 | 组织形式 | ① 公司制企业(双重课税)、合伙企业(只缴个人所得税)。 ② 子公司(独立申报所得税)、分公司(总公司汇总缴纳所得税),根据盈亏、地域等选择。 |
投资行业 | ① 重点扶持的高新技术企业所得税率15%。 ② 创业投资企业可以按投资额的一定比例抵扣应纳税所得额。 | |
投资地区 | 如:西部地区。 | |
收益取得方式 | 如:居民企业投资居民企业,分红免税、转让缴税,故采用分红方式。 | |
直接 对内投资 | 固定资产 | 投资环节纳税筹划空间较少。 |
无形资产 | 自主研发“三新”加计扣除。 制造业企业:费用化的加计100%扣除;形成无形资产,按无形资产成本的200%摊销扣除。 |
(2)间接投资:
国债利息收入免交企业所得税,当债券的回报率较低时,应该将其税后收益与国债比较。
4. 运营纳税管理
(1)采购纳税管理(2024调整小规模纳税人部分表述)
增值税纳税人 | ① 计算增值率:S为不含税销售额,P为不含税购进额,一般纳税人增值税税率为a, 小规模纳税人征收率为 b, 增值率X= (S -P)÷S, 无差别点增值率=b/a ② 若X>b/a , 选择小规模,反之为一般纳税人,二者相等则随意。 |
购货对象 | 一般纳税人从一般纳税人处采购的货物增值税进项税额可以抵扣; 一般纳税人从小规模纳税人处采购的货物,增值税不能抵扣(取得专用发票除外)。(2024调整) |
结算方式 | 包括赊购、现金、预付等。价格无明显差异时,要尽可能选择赊购。 |
增值税专用发票 | 购进的多用途物资应先进行认证再抵扣,待转为非应税项目时再作进项税额转出处理。 |
(2)生产纳税管理
存货 | ① 长期看来,存货的计价方法不会对应纳增值税总额产生影响,但影响纳税时间,进而影响企业价值。 ② 长期盈利,选择使本期存货成本最大化的存货计价方法。 ③ 处于非税收优惠期间时,应选择存货成本最大化的计价方法,减少当期应纳税所得额、延迟纳税。 ④ 处于所得税减税或免税期间,与③ 处理原则相反,让本期利润变大。 |
固定资产 | 对于盈利企业,新增固定资产时,尽可能在当期扣除相关费用,尽量缩短折旧年限或采用加速折旧法。 对于亏损和享受税收优惠的企业,尽量在税收优惠期间和亏损期间少提折旧,以达到抵税收益最大化。 |
期间费用 | 业务招待费支出,按照发生额的60%扣除,但最高不得超过当年销售收入的5%,大额招待费应合理安排至多个年度,争取最大限额扣除。 |
(3)销售纳税管理
结算方式 | 若不能及时收款,可以委托代销、分期收款等,从而起到延缓纳税的作用。 |
促销方式 | 不同促销方式下,同样的产品取得的销售额有所不同。 ① 销售折扣(现金折扣):不得从销售额中减除,不能减少增值税纳税义务。 ② 折扣销售:销售额和折扣额在同一张发票上注明,扣除折扣额后的余额作为计税金额, ③ 实物折扣:视同销售,纳税。 ④ 以旧换新:按新货物同期销售价格确定销售额,不得扣减旧货物的收购价格。 解读:此外还有买一送一等,考试时结合题目要求,计算税收收益最大的方式。 |
5. 利润分配纳税管理
(1)所得税的纳税管理:
发生亏损后,应增加收入或减少可抵扣项目,使应纳税所得额尽可能多,以尽快弥补亏损,获得抵税收益。
(2)股利分配的纳税管理
自然人股东 | 股息红利,持有超1年,免所得税;资本利得,免所得税(但要缴纳印花税)。 所以,发放股利有利于长期持股的个人股东获得纳税方面的好处。 |
法人股东 | 符合条件的股息,免所得税;资本利得(转让差价),缴纳所得税。 所以,发放股利有利。 |
6. 企业重组纳税管理
(1)并购:
并购目标企业 | ① 有税收优惠政策的企业 ; ② 亏损的企业(可弥补亏损):可由合并企业弥补的被合并企业亏损的限额=被合并企业净资产公允价值×截至合并业务发生当年年末国家发行的最长期限的国债利率 ③上下游企业或关联企业:减少流转税。 |
并购支付方式 | ① 股权支付:符合特殊并购条件时,可减少合并环节的纳税义务。 ② 非股权支付:对“增值(=被合并企业公允价值大于原计税基础的所得)”需纳税,并且不能弥补被合并企业的亏损,被合并企业的股东需对资产转让所得缴所得税。 解读:以本企业、控股企业以外企业的股权支付,不属于股份支付。 |
(2)分立
分立方式 | ① 新设分立: a 单个新企业应纳税所得额减少,适用小型微利企业政策; b 使部分分立后符合高新技术企业优惠。 ② 存续分立:将特定部门分立出去,如白酒销售部门分立,利用较低的定价规避流转环节税收。 |
支付方式 | 股权支付、非股权支付:尽可能的构成特殊重组的条件。 |
【知识点4】分配管理
1. 股利政策与企业价值
(1)股利分配理论
理论 | 内容 | |
股利无关论 | 公司市场价值的高低,与公司的利润分配政策无关。 前提:完全资本市场理论(市场具有强式效率、无所得税、无筹资费用、公司的投资决策与股利决策彼此独立、股东对股利或资本增值无偏好)。 | |
股 利 相 关 论 | “ 手中鸟” 理论 | 厌恶风险的投资者会偏好确定的股利收益(手中之鸟)。 当公司支付较高的股利时,公司的股票价格会随之上升,公司的价值将得到提高。 |
信号传递 理论 | ① 在信息不对称的情况下,公司可以通过股利政策向市场传递有关公司未来获利能力的信息,从而会影响公司的股价。 ② 一般而言,高股利支付传递未来盈利能力强的信号,吸引投资者。 | |
所得税差异 理论 | ① 资本利得税率低于股利收益税率,且纳税时间选择更有弹性(延迟纳税)。 ② 资本利得收入比股利收入更有助于实现收益最大化目标,公司应当采用低股利政策。 | |
代理理论 | 股利的支付能够有效地降低代理成本。但同时高水平的股利政策增加了外部融资成本,理想的股利政策应当使两种成本之和最小。 |
解读:股利相关论中,只有“所得税差异理论”主张低股利支付,其他均为高股利支付。
(2)股利分配政策
① 剩余股利政策
含义 | 是指公司在有良好的投资机会时,根据目标资本结构,测算出投资所需的权益资本额,先从盈余中留用,然后将剩余的盈余作为股利来分配。 |
理论依据 | 股利无关理论。 |
优点 | 留存收益优先保证再投资的需要,有助于降低再投资的资金成本,保持最佳的资本结构,实现企业价值的长期最大化。 |
缺点 | 股利每年波动,不利于投资者安排收入与支出,也不利于公司树立良好的形象。 |
适用范围 | 一般适用于公司初创阶段。 |
解读: 应该留存的权益资本=新投资总需求×目标结构中权益比重,应留存的权益含本年计提的法定盈余公积和任意盈余公积,这些都是需要留下来的权益。
② 固定或稳定增长的股利政策
含义 | 每年派发的股利额固定在某一特定水平,或是在此基础上维持某一固定比率逐年稳定增长。 |
理论依据 | 股利相关理论。 |
优点 | 有利于树立公司形象,增强投资者信心,稳定股价; 有利于投资者安排收入与支出,有利于吸引那些打算进行长期投资并对股利有很高依赖性的股东。 考虑多因素,即使推迟某投资方案或暂时偏离目标资本结构,也可能要比降低股利或降低股利增长率更为有利。 |
缺点 | 股利的支付与盈余脱节,可能造成公司财务状况恶化; 无利可分仍然分,可能会违反《公司法》。 |
适用范围 | 适用于经营比较稳定或正处于成长期的企业。 |
③ 固定股利支付率政策
内容 | 将每年净利润的某一固定百分比(股利支付率)作为股利分派给股东。 |
理论依据 | 股利相关理论。 |
优点 | 能使股利与公司盈余紧密地配合,体现多盈多分,少盈少分,无盈不分的原则。 从企业支付能力的角度看这是一种稳定的股利政策。 |
缺点 | 在收益不稳定的情况下,波动的股利容易给投资者带来经营状况不稳定、投资风险较大的不良印象; 面临较大的财务压力(解读:权责发生制下,盈利多不代表现金流充足); 合适的固定股利支付率的确定难度大。 |
适用范围 | 适用于那些处于稳定发展并且财务状况也比较稳定的公司。 |
④ 低正常股利加额外股利政策
内容 | 事先设定一个较低的正常股利额,除了按正常股利发放外,还在公司盈余较多、资金较为充裕的年度发放额外股利。 |
理论依据 | 股利相关理论。 |
优点 | 赋予公司较大的灵活性,使公司在股利发放上留有余地,并具有较大的财务弹性; 使那些依靠股利度日的股东每年至少可以得到虽然较低但比较稳定的股利收入,从而吸引住这部分股东。 |
缺点 | 盈利的波动使得额外股利不断变化,容易给投资者收益不稳定的感觉; 较长时间持续发放额外股利后,会被误认为“正常股利”,若取消,误认为传递财务恶化信号,导致股价下跌。 |
适用范围 | 盈利随着经济周期而波动较大,或者盈利与现金流量很不稳定的公司。 |
2. 利润分配制约因素:
3. 股利支付形式与程序
(1)形式: 现金股利、股票股利、财产股利(含用其他公司股票支付)、负债股利 (通常以应付票据方式)。
提示:股票股利相关知识点:
含义:
① 不会导致股票面值、资本结构、持股比例、(盈利总额和市盈率不变时的)市场价值总额变化;
② 会引起所有者权益各项目的结构、股票数量(↑)、每股收益(↓)、每股市价(↓)发生变化。
优点:
股东角度 | ① 有时股价并不成比例下降,可使股票价值相对上升; ② 由于股利收入和资本利得税率的差异,如果股东把股票股利出售,带来资本利得纳税上的好处。 |
公司角度 | ① 不需要支付现金,公司可以为再投资提供成本较低的资金,从而有利于公司的发展; ② 可降低公司股票市场价格,促进股票的交易和流通,吸引更多的投资者,分散股权,防止被恶意控制; ③ 传递公司未来发展良好的信息,从而增强投资者的信心,在一定程度上稳定股票价格。 |
(2)程序:预案公布日→股利宣告日→股权登记日→除息日→股利发放日。
提示:
① 股权登记日之后取得股票的股东则无权领取本次分派的股利;
② 除息日:领取股利的权利与股票分离的日期,股息与股票相脱离。
4. 股票分割与回购
(1)股票分割
含义 | 拆股,将一股股票拆分成多股股票的行为。 |
作用 | ① 降低股票价格(促进交易和流通、防止恶意收购、为发行新股做准备等); ② 传递“公司发展前景良好”的信号,有助于提高投资者对公司股票的信心。 |
反分割 | 合并股票,提高价格,提高投资门槛,向市场传递的信息通常是不利的。 |
提示:股票分割与股票股利的比较
比较 | 股票股利 | 股票分割 | |
不同点 | 面值 | 不变 | 变小 |
股东权益结构 | 股本增加、未分配利润减少 | 不变 | |
是否为股利支付方式 | 是 | 否 | |
相同点 | ① 普通股股数增加; ② 每股收益和每股市价下降; ③ 资产总额、负债总额、股东权益总额不变; ④ 传递“公司发展前景良好”的信号; ⑤ 股东持股比例不变。 |
(2)股票回购
含义 | 上市公司出资将其发行在外的普通股以一定价格购买回来予以注 销或作为库 存 股的一种资本运作方式。 |
回购的情形 |
秘诀:专为合理意见(转维合励异减)。 |
动机 | ① 现金股利的替代 (获取资本利得上的好处); ② 改变公司的资本结构 (提高公司的财务杠杆水平); ③ 传递信息(一般会被认为目前票价值被低估); ④ 巩固既有控制权,有效地防止敌意收购。 |
对上市公司 的影响 | ① 进一步提升公司调整股权结构和管理风险的能力,提高公司整体质量和投资价值; ② 回购若用于股权激励,形成资本所有者与劳动者的利益共同体,有助于提高投资者回报能力; ③ 回购若用于可转换债券的转换,有助于拓展融资渠道,改善资本结构; ④ 股价严重低估时,回购可减少股份供应量,有助于稳定股价,增强投资者信心; ⑤ 有利于防止操纵市场、内幕交易等利益输送行为; ⑥ 一方面需要大量资金支付回购成本,容易造成资金紧张,另一方面没有合适的投资项目时,将多余资金返还给投资者。 |
5. 股票激励:
项目 | 股票期权模式 | 限制性股票模式 | 股票增值权模式 | 业绩股票激励模式 |
含 义 | 赋予激励对象在未来某一 特定日期内以预先确定的价格和条件购买公司一定数量股份的权利。 提示:获授的股票期权不得转让、不得用于担保和偿还债务。 | 为了实现某一特定目标,免费或低价授予激励对象一定数量股票,实现目标,则可出售获益,未实现目标,公司收回股票或以当时的出售价购回。 提示:解除限制前不得转让、不得用于担保和偿还债务。 | 授予经营者一种权利,规定期限内,股票价格上升或业绩上升,经营者可按一定比例获得这种由股价或业绩提升所带来的收益。 | 年初确定一个合理的年度业绩目标,若在年末实现了目标,则公司给予激励对象一定数量的股票,或奖励其一定数量的奖金来购买公司股票。 |
优 点 | ① 能够降低委托-代理成本; ② 可以锁定期权人的风险。 | 在限制期间公司不需要支付现金对价,便能够留住人才。 | 易于操作(兑换增值部分) | 激励对象与原股东有共同利益。 |
缺 点 | ① 激励对象行权会分散股权,影响现有股东的权益; ② 可能遭遇来自股票市场的风险 ; ③ 可能带来经营者的短期行为 | 缺乏一个能推动企业股价上涨的激励机制。 | ① 不能获得正真股票,激励效果有限; ② 现金支付压力较大。 | ① 目标科学性难保证,可能导致高管舞弊; ② 激励成本较高,可能造成公司支付现金的压力。 |
适 用 性 | 适合那些初始资本投入较少,资本增值较快,处于成长初期或扩张期的企业。 | 对于处于成熟期的企业(股价的上涨空间有限)。 | 现金流量比较充裕且比较 稳定的上市公司和现金流 量比较充裕的非上市公司。 | 比较适合业绩稳定型的上市公司及其集团公司、子公司。 |
宣父犹能畏后生,丈夫未可轻年少,中级会计职称考试报名条件虽然有些苛刻,但是带来的好处确是受益匪浅的,不仅是专业知识的升华,更使得职场道路更加平坦宽阔,为了帮助中级考生们更高几率的通过中级考试,牛账网特意为大家准备了海量中级考试干货资料,具体如下:
资料二:中级会计实务各章节分录汇总
资料三:中级会计《经济法》数字考点汇总
资料四:中级会计《财务管理》必备公式
最后提醒各位:想千万次不如行动一次(去听课>>)!与其被别人卷,还不如卷别人!快来开始学习!!!

赞